Diplomarbeit über Bildqualitätsbeurteilung  
     
Homepage
 
Vorwort
Zusammenfassung
Inhalt
Einleitung / Kapitel 1
Kapitel 2
Kapitel 3
Kapitel 4
Kapitel 5
Kapitel 6
Kapitel 7
Kapitel 8
Kapitel 9
Kapitel 10
Kapitel 11
Kapitel 11
Abkürzungen
Literaturverzeichnis

Subjektive und objektive Messverfahren

Der visuelle Wahrnehmungsvorgang, der von der Abbildung eines Bildes mit Iris, Linse und Glaskörper auf die Netzhaut, über die Umwandlung der Lichtreize in Nervenimpulse (Stäbchen und Zapfen), über die Aufschaltung auf den Sehnerv, den Transport ins Sehzentrum bis zur Verarbeitung im Gehirn reicht, ist, wie wir im letzten Kapitel gesehen haben, äusserst komplex und besonders der letzte Vorgang bei weitem noch nicht vollständig erforscht. Es würde auch bei weitem den Rahmen dieser DA sprengen, wenn eigene Untersuchungen auf diesem Gebiet angestellt werden müssten. Ich greife deshalb in diesem Punkt auf bisher bekannte Ergebnisse zurück.

Messung und Beurteilung der Bildqualität

Methoden zur Messung der Bildqualität werden gewöhnlich in objektive und subjektive Methoden aufgeteilt. Leider gibt es in diesem Zusammenhang oft Unklarheiten über die Definition von objektiv und subjektiv, deshalb unterscheide ich hier die Begriffe Methoden der objektiven Bildqualitätsbeurteilung und subjektive Tests. Bei ersteren werden Bildqualität und Qualitätsverlust in einem bildverarbeitenden System durch Berechnungen festgestellt, die sich auf ein gegebenes mathematisches, physikalisches oder psychophysisches Modell abstützen. Bei letzteren hingegen wird die Qualität von Bildern durch subjektive psychologische Tests mit mehreren Testpersonen ermittelt.

Die subjektiven Tests haben den Vorteil, dass sie je nach zu testender Anwendung für verschiedene Aufgaben der Qualitätsbestimmung speziell erstellt werden können. Andererseits erfordern sie normalerweise eine sorgfältige Planung und sie sind sehr zeitraubend. Die Ergebnisse solcher Versuche sind meist schwierig zu verallgemeinern und eine Wiederholbarkeit erfordert exakte Reproduktion aller wichtigen Parameter, die meist schwierig durchzuführen ist. Somit können subjektive Tests unmöglich die Lösung für die Qualitätssicherung in der heutigen Multimediawelt sein, in der es auf schnelle und kostengünstige Verfahren ankommt, die sich auch für unterschiedlichste Anwendungen verwenden lassen.

Die heute verfügbaren Methoden zur Qualitätsmessung sind in der Regel nur für Berechnungen an Einzelbildern (Standbildern), weil es momentan nur sehr begrenzte und isolierte Modelle zur Ermittlung von wahrnehmungsbasierten Bildeigenschaften gibt. Erst seit neuestem sind auch umfangreichere Modelle erstellt worden, die es erlauben, mit sehr viel Rechenaufwand auch Buerteilungen von ganzen Sequenzen durchzuführen [Sarnoff-Tektronix-Modell, 27]. Deshalb sind objektive Bildbeurteilunsverfahren in den meisten Fällen einfach anzuwenden, ihre Ergebnisse können aber nur ganz selten verallgemeinert werden. Besonders wenn der Einfluss von Bildveränderungen auf die höheren Verarbeitungsebenen im Sehsystem bestimmt werden soll, reicht die technisch messbare Bildqualität nicht mehr aus, um den Erfolg der Präsentation zu garantieren.

Nachfolgend wird eine Einführung in eine Auswahl der wichtigsten Verfahren zur Feststellung der Bildqualität gegeben.

Grundlagen und Definitionen

Die meisten Verfahren zur Qualitätsbestimmung messen den Qualitätsverlust eines bildverarbeitenden Systems, indem sie das Originalbild mit dem verarbeiteten Bild vergleichen (siehe Bild 6.1)

Die drei folgenden Abschnitte erklären grundlegende Formeln und Definitionen, die für die Beschreibung der verschiedenen Messverfahren benötigt werden.

Lineare Systeme

Eine wichtige Voraussetzung für viele Methoden der Qualitätsbeurteilung ist die Linearität des betrachteten Systems. Ein solches System besitzt die wichtige Eigenschaft des Superpositionsprinzips. Wenn der Eingang des Systems aus einer Summe von mehreren Einzelsignalen besteht, dann ergibt sich das Ausgangssignal einfach durch Überlagerung, d. h. der gewichteten Summe der eizelnen Antworten des Systems auf die Eingangssignale [28].

Rasterbilder können mit Hilfe der Fouriertransformation vom Orts- in den Frequenzbereich transformiert werden, wobei die Fouriertransformierte des diskreten Signals in Form eines Vektors geschrieben werden kann

Fm,n bezeichnen die Fourierkoeffizienten des Bildes für die Ortsfrequenzen und . Nachfolgend verwende ich die vereinfachte Schreibweise F für die Koeffizienten. Ferner kann ein lineares System vollständig in Form einer Matrix S (im Frequenzbereich). Daraus folgt, dass das Ergebnis der Veränderung eines Signals durch ein lineares System folgendermassen geschrieben werden kann:

Nichtlineare Systeme sind dadurch gekennzeichnet, dass sie im Arbeitsbereich Harmonische höherer Ordnungen produzieren. Das bedeutet, dass die direkte Beziehung zwischen den Frequenzkomponenten des Originalsignals und der veränderten Version verloren gehen kann und die einzelnen Werte nicht einfach verglichen werden können, um den Qualitätsverlust zu messen. Normalerweise sind digitale Bildverarbeitungsverfahren wie Abtastung, Anti-Aliasing und Quantisierung nichtlinear. Wenn die nichlinearen Terme klein genug sind, können diese aber durch lineare Systeme angenähert werden [29].

Die Modulationsübertragungsfunktion

Die Modulationsübertragungsfunktion (Modulation Transfer Function, MTF) wird üblicherweise dazu verwendet, das Frequenzauflösungsvermögen eines Systems zu beschreiben. Im allgemeinen ist die MTF nur eine gültige Darstellung für ein lineares System. Für ein zweidimensionales Signal ist die MTF wie folgt definiert:

und sind die Frequenzkomponenten des Originalsignals beziehungsweise des veränderten Signals [30]. Beide Bilder werden mit ihrer durchschnittlichen Helligkeit und normalisiert. Wie unschwer zu erkennen ist, werden durch die MTF keine Unterschiede in der Bildhelligkeit erkannt.

Die MTF berücksichtigt auch keine Eigenschaften des menschlichen Sehens. Demzufolge ist auch die Übereinstimmung mit subjektiven Testpersonen gering. Es müssen also andere Messmethoden entwickelt werden, die dieses Kriterium beinhalten.

Die Kontrastempfindlichkeitsfunktion

Um ein Mass zu erhalten, das besser mit der menschlichen Empfindung übereinstimmt, muss die MTF mit der Kontrastempfindlichkeitsfunktion (Contrast Sensitivity Function, CSF) des menschlichen Auges gewichtet werden [28], die die Inverse der Schwellenverstärkungsfunktion des Auges ist (Bild 6.2).

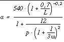
Die CSF ist abhängig von der Ortskreisfrequenz beim Auge des Beobachters. Im allgemeinen wird vorausgesetzt, dass der Ortsfrequenzgang des Auges symmetrisch für horizontale und vertikale Frequenzen ist. Folglich hängt die CSF nur vom Absolutwert der Ortsfrequenz ab. Das Verhältnis der Ortskreisfrequenz zur Ortsfrequenz im betrachteten Bild ist gegeben durch:

,

wobei d den Betrachtungsabstand darstellt. Die CSF kann angenähert werden durch:

Die Konstanten a und b beschreiben das Verhalten des Systems bei Anregung mit tiefen und hohen Frequenzen; sie können durch folgende Gleichungen berechnet werden:

ist die Ortskreisfrequenz in Schwingungen pro Grad, L die durchschnittliche Displayhelligkeit in cd/m2, die normalerweise Werte zwischen 50 und 100 cd/m2 besitzt, und p ist ein Mass für die Bildgrösse [33].

Messverfahren zur Beurteilung der Bildqualität

In den folgenden Abschnitten gebe ich eine Einführung in die traditionellen Messverfahren RMS/MSE, MTFA und den SQRI. Letztere werden durch Integration der MTF errechnet, wobei die CSF auf verschiedene Arten als Gewichtung verwendet wird. Ausserdem wird das JND-Verfahren von Lubin vorgestellt, auf welchem die Studien dieser Arbeit beruhen.

Subjektives Verfahren

Ein von der ITU genormter Testablauf ist der Mean Opinion Score (MOS). Dabei werden die Bilder durch eine Gruppe von Versuchspersonen beurteilt und nach der Q-Norm benotet [45]:

1 - sehr störende Artefakte

2 - störende Artefakte

3- feststellbare und leicht störende Artefakte

4 - feststellbare aber nicht störende Artefakte

5 - keine Artefakte feststellbar

Der MOS entsteht durch Mittelung der Einzelnoten. Die genauen Testbedingungen (Betrachtungsabstand, Raumbeleuchtung, Darstellungsdauer der Bilder etc.) sind durch die ITU-Empfehlung BT 500 normiert.

Objektive Verfahren

Das RMS/MSE-Verfahren

Dieses Verfahren (Root Mean Square, RMS oder Mean Squared Error, MSE) ist eines der einfachsten und und wird zur Beurteilung der Übertragungsqualität von Signalen verwendet. Dabei wird die Differenz der beiden Bilder gebildet und der Mittelwert der Fehlerquadrate bestimmt (6.9) und (6.10).

Berechnung für kontinuierliche Signale:

Berechnung für diskrete Signale:

Eine davon abgeleitete Grösse ist die PSNR (Peak Signal to Noise Ratio):

Wegen der psychovisuellen Eigenschaften des menschlichen Auge/Gehirn-Systems können Bilder von verschiedener subjektiver Qualität den gleichen RMS besitzen. Daraus folgt, dass dieses Mass nur schlecht geeignet ist, um bei allgemeinem Bildinhalt auf die subjektive Bewertung zu schliessen. Entsprechend schlecht ist z. B. auch die Korrelation mit dem MOS.

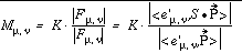
Das MTFA-Verfahren

Das MTFA-Verfahren (engl.: Modulation Transfer Function Area) wurde bisher erfolgreich für die Beurteilung von Bildschirmen und analogen Bildverarbeitungssystemen angewandt, ausserdem war es ein Bildqualitätsstandard für die amerikanische Industrie seit 1988. Im Gegensatz zur MTF enthält es ein Modell zur Berücksichtigung der Auflösungsempfindlichkeit des menschlichen Auges. Die MTF des Auges wird dazu benutzt, um eine angemessene Gewichtung der Störungen in den Frequenzkomponenten des Signals zu erzielen. Das MTFA-Verfahren ist demgemäss definiert als

wobei gilt

und

.

ist die absolute Ortsfrequenz für eine gegebene horizontale und vertikale Frequenz. Das MTFA-Verfahren liefert Werte, die von der menschlichen Bewertung leicht verschieden sind, und es wird oft kritisiert, dass es dadurch wichtige Widersprüchlichkeiten des unterliegenden HVS-Modells zeigt [34].

Ausserdem hat die CSF nur einen begrenzten Effekt auf die MTFA-Werte; man kann die obige Definition auch folgendermassen ausdrücken:

Dennoch ist die Korrelation für lineare Systeme ausreichend. Die Messergebnisse für solch ein System (Tiefpassfilter) sind in Bild 6.3 dargestellt. Sie stimmen gut mit den subjektiven Eindrükken überein.

Das SQRI-Verfahren

Das Quadratwurzelintegral" (Square Root Integral, SQRI) stellt einen neueren Versuch dar, die Werte des MTFA zu verbessern. Es wird nach der folgenden Formel berechnet [33], [34]:

Es gewichtet direkt die Verstärkung oder Dämpfung einer Frequenz durch die CSF des menschlichen Auges. Die SQR-Gewichtung soll eine bessere Korrelation mit der subjektiven Bildbewertung liefern. Logarithmische Integration wird verwendet, da höhere Frequenzen im Spektrum tendenziell weniger Dämpfung erfahren als tiefere. Das SQRI-Verfahren misst die Bildqualität in gerade wahrnehmbaren Unterschieden (Just Noticeable Differences, JNDs). Ein Qualitätsverlust von 3 JNDs entspricht einer merklichen, 10 JNDs einer wesentlichen Veränderung des Originalbildes. Das heisst, das SQRI-Mass stellt eine direkte Beziehung her zur Bildbewertung durch Testpersonen. Ausserdem deckt das SQRI einen grossen Bereich von Bildaspekten ab und scheint gut mit der menschlichen Wahrnehmung zu korrelieren [34]. In Bild 6.4 sind die Messergebnisse des selben Tiefpassfilters wie oben dargestellt und in der Tat entsprechen diese sehr gut den subjektiven Bildbewertungen [40].

Beide dargestellten Verfahren können selbstverständlich hinsichtlich der Berücksichtigung der Farbinformationen erweitert werden, was auch bereits gemacht wurde. An dieser Stelle soll aber nicht weiter darauf eingegangen werden, da ich bei der Bildbewertung nur die Helligkeitsinformation auswerte.

Das Lubin-JND Verfahren

Dieses Verfahren bezieht die Erkenntnisse mit ein, die bereits in den bisher beschriebenen Verfahren gewonnen wurden. Zusätzlich stützt es sich aber auf ein mechanistisches Modell der menschlichen visuellen Wahrnehmung ab. Das heisst, das Modell besitzt Funktionseinheiten mit denselben Antworten auf Eingangsgrössen wie die entsprechenden Einheiten im visuellen Pfad des Menschen. In diesem Modell sind lineare Filter vorhanden, die auf verschiedene Frequenzbereiche, Ortsbereiche und Richtungen abgestimmt sind [42], [44]. Die Ausgänge werden mit einer nichtlinearen Funktion gewichtet und über einen Summationsmechanismus zu einem einzigen Wert verknüpft. Ein Wert von 0 JNDs bedeutet, dass kein Unterschied vorhanden ist, ein Wert von 1 bedeutet, dass 75% der Betrachter einen Unterschied erkennen können. In Bild 6.5 ist ein Blockdiagramm des Verfahrens dargestellt.

Am Eingang werden zwei digitalisierte Bilder benötigt, dargestellt als abgetastete Helligkeitsverteilung in der Ebene (in diesem Fall werden bei den Bildern nur Helligkeitsinformationen und keine Farben berücksichtigt). Zusätzlich müssen der Betrachtungsabstand und die Abweichung des Betrachters von der Bildnormalen angegeben werden.

Eine Beschreibung der einzelnen Bearbeitungsstufen des Lubin-JND Modells befindet sich in Kapitel 7. Für genauere Informationen verweise ich auf [1], [35], [36].

 
Homepage
Zurück Top Weiter
 
Diese Seite verwendet keine Frames !
e-mail: Alexander Braun Diese Seite wurde auf einem A4000 gestaltet 31. Juli 1998